Files
website/_posts/research/2023-05-01-emergent-social-dynamics.md
2025-03-27 22:57:31 +01:00

2.5 KiB

layout, title, categories, tags, excerpt, header, scholar_link
layout title categories tags excerpt header scholar_link
single Emergent Social Dynamics research artificial-life complex-systems neural-networks self-organization emergent-behavior predictive-coding Artificial chemistry networks develop predictive models via surprise minimization.
teaser
/assets/figures/18_surprised_soup_teaser.jpg
https://scholar.google.de/citations?user=NODAd94AAAAJ&hl=en

This research extends the study of artificial chemistry systems populated by neural network "particles," focusing on the emergence of complex behaviors driven by social interaction rather than explicit programming. Building on systems where particles may exhibit self-replication, we introduce interactions based on principles of predictive processing and surprise minimization (akin to the Free Energy Principle).

Schematic diagram illustrating interacting neural network particles in the 'social soup' {:style="display:block; width:40%" .align-right}

Specifically, particles are equipped with mechanisms enabling them to recognize and build predictive models of their peers' behavior. The learning process is driven by the minimization of prediction error, or "surprise," incentivizing particles to accurately anticipate the actions or state changes of others within the "soup."

Key observations from this setup include:

  • The emergence of stable behavioral patterns and population dynamics purely from these local, predictive interactions. Notably, these emergent patterns often resemble the stability observed in systems where self-replication was an explicitly trained objective.
  • The introduction of a unique "catalyst" particle designed to exert evolutionary pressure on the system, demonstrating how external influences or specialized agents can shape the collective dynamics.
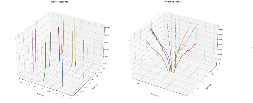
Trajectories or state space visualization of the particle population dynamics over time
Visualization of particle trajectories or population dynamics within the 'social soup'.

This study highlights how complex, seemingly goal-directed social behaviors and stable ecosystem structures can emerge from simple, local rules based on mutual prediction and surprise minimization among interacting agents, offering insights into the self-organization of complex adaptive systems. {% cite zorn23surprise %}