Files
website/_posts/research/2022-08-01-extended-self-replication.md
2025-03-27 22:57:31 +01:00

2.7 KiB
Raw Blame History

layout, title, categories, tags, excerpt, header, scholar_link
layout title categories tags excerpt header scholar_link
single Extended Self-Replication research artificial-life complex-systems neural-networks self-organization dynamical-systems Journal extension: self-replication, noise robustness, emergence, dynamical system analysis.
teaser
/assets/figures/15_sr_journal_teaser.jpg
https://scholar.google.de/citations?user=NODAd94AAAAJ&hl=en
Visualization showing the evolution or diversity of 'child' networks generated through self-replication
Analyzing the lineage and diversity in populations of self-replicating networks.

This journal article provides an extended and more in-depth exploration of self-replicating neural networks, building upon earlier foundational work (Gabor et al., 2019). The research further investigates the use of backpropagation-like mechanisms not for typical supervised learning, but as an effective means to enable non-trivial self-replication where networks learn to reproduce their own connection weights.

Key extensions and analyses presented in this work include:

  • Robustness Analysis: A systematic evaluation of the self-replicating networks' resilience and stability when subjected to various levels of noise during the replication process.
  • Artificial Chemistry Environments: Further development and analysis of simulated environments where populations of self-replicating networks interact, leading to observable emergent collective behaviors and ecosystem dynamics.
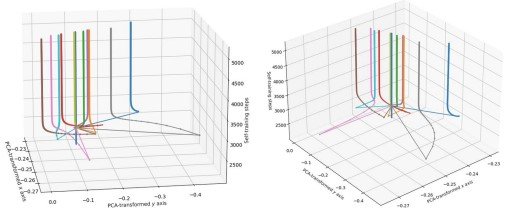
  • Dynamical Systems Perspective: A detailed theoretical analysis of the self-replication process viewed as a dynamical system. This includes identifying fixpoint weight configurations (networks that perfectly replicate themselves) and characterizing their attractor basins (the regions in weight space from which networks converge towards a specific fixpoint).
Graph showing the impact of different noise levels on self-replication fidelity or population dynamics
Investigating the influence of noise on the self-replication process.

By delving deeper into the mechanisms, robustness, emergent properties, and underlying dynamics, this study significantly enhances the understanding of how self-replication can be achieved and analyzed within neural network models, contributing valuable insights to the fields of artificial life and complex systems. {% cite gabor2022self %}